Skladové zásoby
- [21.10. 2025]Smazat/ Upravit/ Topovat






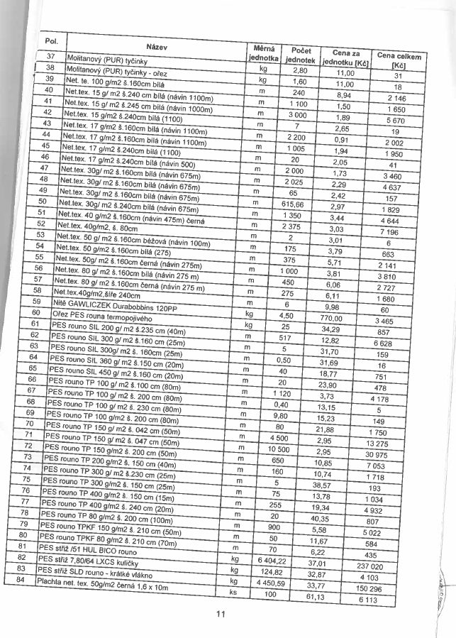
Insolvenční správkyně dlužníka PRO GYM Profesional s.r.o., se sídlem Chýnovská 378, 391 11 Planá nad Lužnicí, IČ: 031 37 911 nabízí k přímému prodeji movitý majetek, a to skladové zásoby dlužníka, které sloužily k jeho textilní výrobě, kdy tyto jsou specifikovaný blíže v příloze č. 1 této inzerce. Skladové zásoby jsou sepsány v soupisu majetkové podstaty dlužníka ze dne 13.10.2025 pod položkou II. poř. č. 58. Jedná se zejména o rouno, výplně, látky, proševy, polyester rouno a další textilní výrobky.
Nabídky mohou být činěny jak na soubor majetku, tak na jednotlivý movitý majetek, přičemž nejprve budou hodnoceny nabídky na koupi celého souboru majetku jedinou smlouvou.
Případné nabídky, nechť jsou činěny písemně a doručeny do datové schránky insolvenční správkyně či emailem na emailovou adresu progym@hepperova.cz, a to nejpozději do 20.1.2026.
Každá nabídka musí obsahovat:
- uvedení subjektu, který nabídku činí, a to označením obchodní firmy, sídla, IČ, či jména a příjmení, bydliště a data narození a emailového a telefonického kontaktu
- výši nabízené kupní ceny – zájemce uvede, zda nabízená kupní cena je za celý soubor majetku, či jednotlivý majetek. Bude-li nabídka činěna na jednotlivý majetek, musí zájemce uvést označení majetku, na který je nabídka směřována, a to označením majetku jeho číslem uvedeným v soupisu majetkové podstaty. Kupní cenu uvede zájemce ve výši včetně DPH.
Insolvenční správkyně je oprávněna odmítnout jakoukoliv nabídku, případně i všechny nabídky. Neúspěšní zájemci nebudou vyrozumíváni.
Smlouva bude uzavřena se zájemcem s nejvyšší nabídkou, a to nejméně za cenu odpovídající ceně stanovené znaleckým posudkem. Kupní cenu bude kupující povinen zaplatit v celé výši před podpisem kupní smlouvy. Zájemce bude vyzván k zaplacení kupní ceny tak, že ji bude povinen složit na účet majetkové podstaty ve lhůtě 7 dnů ode dne výzvy insolvenční správkyně a v téže lhůtě bude povinen doručit insolvenční správkyni akceptovaný návrh kupní smlouvy. Tento návrh kupní smlouvy insolvenční správkyně zašle zájemci spolu s výzvou k úhradě kupní ceny. Kupní smlouva bude následně před jejím uzavřením předložena insolvenčnímu soudu ke schválení. Až za předpokladu, že bude kupní smlouva insolvenčním soudem schválena, dojde k podpisu smlouvy ze strany insolvenční správkyně a k jejímu uzavření. Nebude-li kupní smlouva schválena insolvenčním soudem, bude uhrazená kupní cena vrácena kupujícímu.
Insolvenční správkyně upozorňuje, že v této věci bude při hodnocení nabídky přihlédnuto jak k výši kupní ceny, tak k hospodárnosti a rychlosti zpeněžení.
Další podrobnosti zde: https://www.burzaspravcu.cz/inzerat/skladove-zasoby-9/
Nabídky mohou být činěny jak na soubor majetku, tak na jednotlivý movitý majetek, přičemž nejprve budou hodnoceny nabídky na koupi celého souboru majetku jedinou smlouvou.
Případné nabídky, nechť jsou činěny písemně a doručeny do datové schránky insolvenční správkyně či emailem na emailovou adresu progym@hepperova.cz, a to nejpozději do 20.1.2026.
Každá nabídka musí obsahovat:
- uvedení subjektu, který nabídku činí, a to označením obchodní firmy, sídla, IČ, či jména a příjmení, bydliště a data narození a emailového a telefonického kontaktu
- výši nabízené kupní ceny – zájemce uvede, zda nabízená kupní cena je za celý soubor majetku, či jednotlivý majetek. Bude-li nabídka činěna na jednotlivý majetek, musí zájemce uvést označení majetku, na který je nabídka směřována, a to označením majetku jeho číslem uvedeným v soupisu majetkové podstaty. Kupní cenu uvede zájemce ve výši včetně DPH.
Insolvenční správkyně je oprávněna odmítnout jakoukoliv nabídku, případně i všechny nabídky. Neúspěšní zájemci nebudou vyrozumíváni.
Smlouva bude uzavřena se zájemcem s nejvyšší nabídkou, a to nejméně za cenu odpovídající ceně stanovené znaleckým posudkem. Kupní cenu bude kupující povinen zaplatit v celé výši před podpisem kupní smlouvy. Zájemce bude vyzván k zaplacení kupní ceny tak, že ji bude povinen složit na účet majetkové podstaty ve lhůtě 7 dnů ode dne výzvy insolvenční správkyně a v téže lhůtě bude povinen doručit insolvenční správkyni akceptovaný návrh kupní smlouvy. Tento návrh kupní smlouvy insolvenční správkyně zašle zájemci spolu s výzvou k úhradě kupní ceny. Kupní smlouva bude následně před jejím uzavřením předložena insolvenčnímu soudu ke schválení. Až za předpokladu, že bude kupní smlouva insolvenčním soudem schválena, dojde k podpisu smlouvy ze strany insolvenční správkyně a k jejímu uzavření. Nebude-li kupní smlouva schválena insolvenčním soudem, bude uhrazená kupní cena vrácena kupujícímu.
Insolvenční správkyně upozorňuje, že v této věci bude při hodnocení nabídky přihlédnuto jak k výši kupní ceny, tak k hospodárnosti a rychlosti zpeněžení.
Další podrobnosti zde: https://www.burzaspravcu.cz/inzerat/skladove-zasoby-9/
|
| |||||||||||||||||||||||||||||||
Podobné inzeráty
Weishaupt L3Z-A 120–775 kW - [18.12. 2025]Predám nový priemyselný plynový horák Weishaupt L3Z-A 120–775 kW (nový, zabalený)
📌 Typ: Weishaupt L3Z-A
📌 Výkon: 120 – 775 kW (veľký priemyselný horák)
📌 Stav: úplne nový, originálne zabalený, nikdy nepoužitý
📌 Rok výroby: 2008 (nový kus skladom)
📌 ...
Dohodou
Slovensko
987 65
987 65
11 x
Označit špatný inzerát Chybnou kategorii Ohodnotit uživatele Smazat/Upravit/Topovat
Sklad přízí - [17.12. 2025]Nabízíme k odprodeji skladové zásoby přízí ze zrušeného eshopu. Zájemci zašlu mailem skladovou sestavu.
Základem jsou špagátové příze T-shirt yarn od italského výrobce Maccaroni. Dále je tu sortiment dalších klasických přízí. Celkem jsou toho dvě pl ...
Dohodou
Liberec
460 01
460 01
35 x
Označit špatný inzerát Chybnou kategorii Ohodnotit uživatele Smazat/Upravit/Topovat
Prodám vybavení pro výrobu fotodárků a reklamních předmětů - [6.12. 2025]Nabízím k prodeji celou technologii a skladové zásoby:
Sublimační tisk (hrnky, trička, puzzle, polštáře, klíčenky, reklamní předměty)
Výroba kalendářů a jiných tiskovin z vlastních fotografií.
Řezačka Dahle 846 + Stojan na řezačku DAHLE 712
Sub ...
Nabídněte
Opava
747 23
747 23
49 x
Označit špatný inzerát Chybnou kategorii Ohodnotit uživatele Smazat/Upravit/Topovat
Prodám skladové zásoby - příslušenství k mobilním telefonům - [5.12. 2025]Prodám skladové zásoby - příslušenství k mobilním telefonům pro sběratelské a nové telefony. Skladem jsou náhradní díly,lcd, datové kabely, pouzdra, nabíječky, handsfree, držáky, stojánky, kryty, šňurky, baterie. zboží je docela hodně, v nákupu něco ...
450 000 Kč
Uherské Hradiště
687 03
687 03
115 x
Označit špatný inzerát Chybnou kategorii Ohodnotit uživatele Smazat/Upravit/Topovat
Skladové zásoby nové elektro solary solax a jiné. - [5.12. 2025]
Celková hodnota dle inventury: cca 30 000 000 Kč
Objem: 2–3 kamiony materiálu
Součástí nabídky jsou mimo jiné:
🔹 Solární panely – velké množství
🔹 Solax měniče (různé typy)
🔹 Topné rohože a topné systémy
🔹 Izolační a butamelové pásky
🔹 Jističe, oc ...
Dohodou
Ostrava
700 30
700 30
211 x
Označit špatný inzerát Chybnou kategorii Ohodnotit uživatele Smazat/Upravit/Topovat
Prodej vybavené dílny, popis v textu - [1.12. 2025]Nabízím k prodeji vybavenou dílnu pro výrobu koženého oblečení a doplňků, dalších doplňků a reklamních předmětů s potiskem sublimační metodou (kšandy, šátky, vlajky, hrníčky ad.) a bavlněných šátků. Dílna se nachází v pronajatých prostorách, nájem pr ...
V textu
Frýdek - Místek
738 01
738 01
63 x
Označit špatný inzerát Chybnou kategorii Ohodnotit uživatele Smazat/Upravit/Topovat
Nápisy z překližky - [30.11. 2025]Nabízím skladové zásoby z naší ukončené výroby.Material březová překližka 3 mm.Vse, co je na foto za 300 a doprava.
300 Kč
Náchod
549 47
549 47
106 x
Označit špatný inzerát Chybnou kategorii Ohodnotit uživatele Smazat/Upravit/Topovat
Přepravky plastové plná ukládací boxy od 100 kč - TOP - [29.11. 2025]Prodám
.....POZOR....Šedé nejvyšší bedny již nejsou k dispozici......
tyto tři druhy technické ukládací plastové přepravky.
60 x 40 cm, různé výšky, všechny stohovatelné na sebe.
Šedé a černé vyšší za 150 kč, černé nízké za 100 kč.
...
100 Kč
České Budějovice
370 05
370 05
212 x
Označit špatný inzerát Chybnou kategorii Ohodnotit uživatele Smazat/Upravit/Topovat
SKLAD MARKETING - [10.11. 2025]Insolvenční správce nabízí k prodeji movitý majetek z majetkové podstaty dlužníka ZZM, spol. s r.o., se sídlem U Vlečky 1108, 664 42 Modřice, IČO: 255 95 351 vedeno pod spis. zn.: KSBR 26 INS 20080/2023KSUL 43 INS 6099/2024.
Jedná se o část z movité ...
Nabídněte
Pardubice
530 02
530 02
66 x
Označit špatný inzerát Chybnou kategorii Ohodnotit uživatele Smazat/Upravit/Topovat
SKLAD NÁŘADÍ - [10.11. 2025]Insolvenční správce nabízí k prodeji movitý majetek z majetkové podstaty dlužníka ZZM, spol. s r.o., se sídlem U Vlečky 1108, 664 42 Modřice, IČO: 255 95 351 vedeno pod spis. zn.: KSBR 26 INS 20080/2023KSUL 43 INS 6099/2024.
Jedná se o část z movité ...
Nabídněte
Pardubice
530 02
530 02
145 x
Označit špatný inzerát Chybnou kategorii Ohodnotit uživatele Smazat/Upravit/Topovat